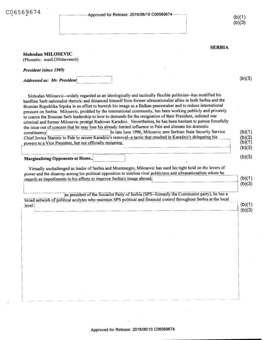
OTKRIVAMO, STROGO POVERLJIV DOKUMENT: Izveštaj CIA o Miri i Slobi
Američka obaveštajna služba CIA detaljno se bavila likom i delom Slobodana Miloševića i o njemu pravila strogo poverljive izveštaje. Srpski telegraf objavljuje originalni dokument u kojem su devedesetih godina operativci CIA sabrali saznanja o tadašnjem lideru Srbije.
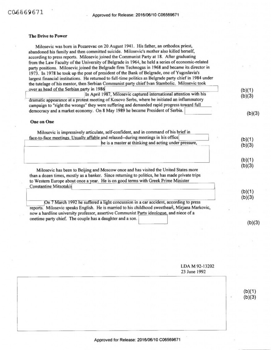
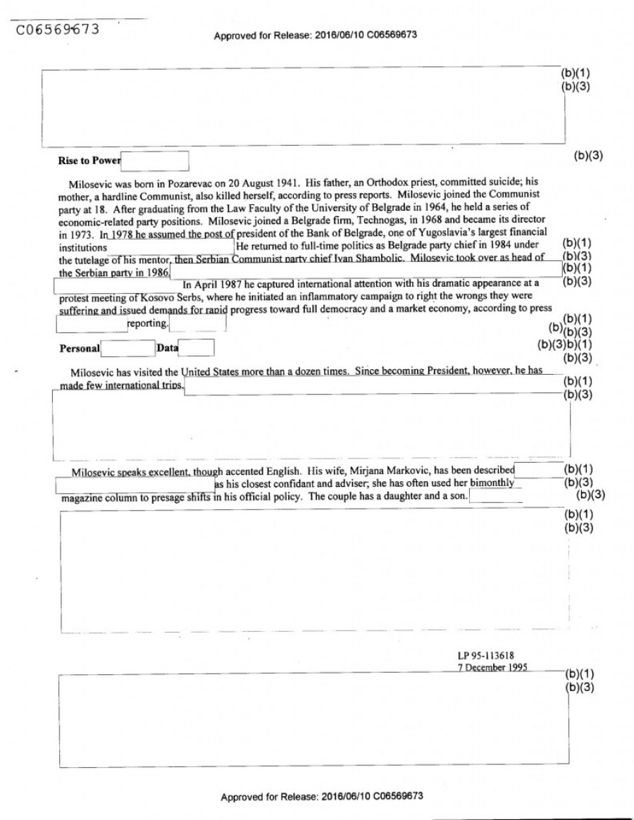
Foto: www.profimedia.rsCIA je skenirala kompletnu Miloševićevu životnu i radnu biografiju, u koju je uključila sve njegove specifične osobine, očigledno praćene vrlo pažljivo. Na početku ovog dokumenta, nastalog u vreme kada se rat u Hrvatskoj razbuktao, a sukob u BiH bio u povoju, CIA Miloševića doživljava kao "promućurnog taktičara koji dobro zna kako da manipuliše političkom scenom zarad opstanka na vlasti".
- Prema našoj proceni, primarni motiv koji je u osnovi Miloševićevog političkog ponašanja je snažna želja za obavljanjem vlasti i kontrolom - stoji već u trećem pasusu izveštaja, čiji su pojedini delovi cenzurisani, verovatno zbog tajnosti podataka.
UČTIV I OPUŠTEN
CIA Miloševića naziva impresivnim govornikom, koji je samouveren i dominantan dok razgovara oči u oči.
- Milošević je učtiv i opušten tokom sastanaka u svojoj kancelariji. On je majstor za razmišljanje i donošenje odluka pod pritiskom - glasi deo opisa.
Foto: www.profimedia.rs
Američki obaveštajci insistiraju na psihološkom profilu Miloševića, kojem su i otac i majka počinili samoubistvo, navodeći da je porodični čovek, koji ima suprugu Mirjanu, sina i ćerku. Poseban paragraf posvećen je supruzi, ali je veliki deo zatamnjen.
Spasić: Iz izveštaja se vidi da je CIA imala ljude u Miloševićevom okruženju
- Mirjana Marković mu je najbliža, u nju ima najviše poverenja, ona je njegov savetodavac. Često je koristila kolumne u magazinu da predskazuje smene i događaje u politici svog supruga - stoji u materijalu neposredno pre cenzurisanog dela.
Dakle, američka služba dobro je poznavala namere Markovićeve da u dogovoru sa Miloševićem politički, ali očigledno u nekim slučajevima i bukvalno, ukloni nekog ko joj nije po volji, o čemu je Srpski telegraf pisao pre dva dana.
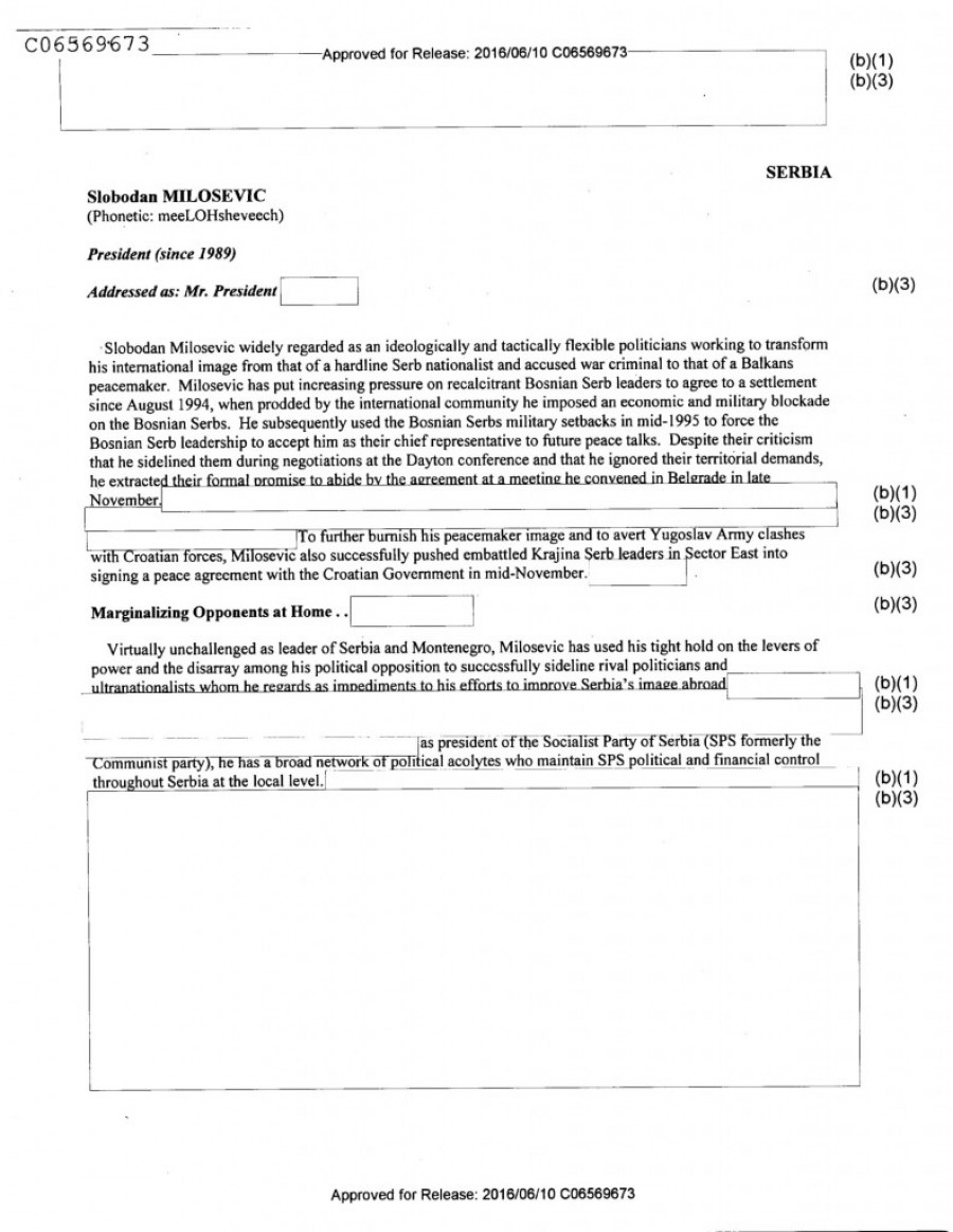
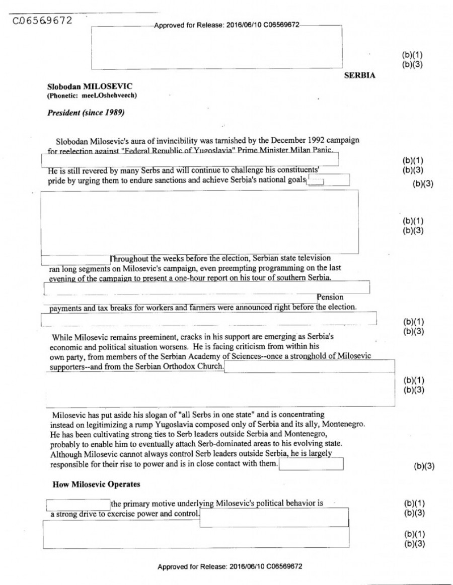
Izveštaj je s vremenom dopunjavan novim podacima, a kako je vreme prolazilo, Milošević od simpatičnog političara koji pije viski, puši tompus i odlično govori engleski, sa upadljivim akcentom, postaje zlikovac koji gura lidere krajiških i bosanskih Srba u rat. Tako kasnije opservacije opisuju Slobu kao "ultimativnog vlastodršca koji je marginalizovao opoziciju" i "nacionalistu koji se u to preobratio posle uloge mirotvorca u Dejtonu".
SPOLJA I IZNUTRA
Bivši agent Državne bezbednosti Božidar Spasić ističe za Srpski telegraf da se po ovim spisima jasno vidi koliko je psihološki profil Miloševića odrađen profesionalno, do najsitnijih detalja:
- Treba pomenuti da su ovi izveštaji CIA o Miloševiću samo delimično pisani u centrima federalne američke službe, a dosta toga je napisano u Beogradu. Iz dokumenta se može zaključiti da je CIA imala uz sebe ljude koji su okruživali Miloševića i bili odlično upućeni u njegovo ponašanje i odnose. I na suđenju u Hagu često je pominjano da je CIA imala veoma dobre saradnike na terenu, unutar državnog aparata.
Foto: youtube.com/Ras TelevizijaMarić: Mira najavljivala sve smene u kolumnamaNovinar Milomir Marić, koji je bio urednik u Dugi, gde je Mirjana Marković objavljivala kolumne, kaže da su njeni tekstovi bili najčitanije štivo u zemlji. - Za Dugu je pisao i Đinđić, ali su Mirine kolumne bile mnogo čitanije zato što je, naravno, bila upućena u sve Miloševićeve poteze. Tako je ona prva objavila da se Milošević posvađao s Karadžićem, da je besan na neke svoje saradnike i još mnogo toga. Obično se već posle nedelju ili dve ostvarivalo ono što je najavljivala. Ljudi su to čitali kao sumanuti. Koga i kada će smeniti Milošević jako je interesovalo svakog Srbina. Bukvalno je svaki Miloševićev zaokret ona prethodno najavila. Tako je u tekstovima nezvanično objavila kraj rata u Bosni. Nije samo CIA čitala njene tekstove. Znam da se lord Dejvid Oven hvalio Miloševiću kako čita svaku kolumnu njegove žene - priseća se Marić. |
Ovako je CIA videla Slobu |
|
|---|---|
|
* Pije viski i puši tompus * Snažno želi da vrši vlast i sve ima pod kontrolom 11 * Promućurni taktičar koji drži opoziciju van ravnoteže 1 * Opušten i šarmantan, majstor za razmišljanje i donošenje odluka pod pritiskom 2 * Doživeo potres mozga u saobraćajnoj nesreći 7. marta 1992. 22 * Aura nepobedivosti potamnela decembra 1992. u kampanji za reizbor protiv tadašnjeg premijera Milana Panića 3 * Mirjana je njegov najbliži čovek od poverenja i savetodavac 7 * Posetio SAD na desetine puta, a otkad je postao predsednik tek nekoliko 9 * Otac napustio porodicu, pa počinio samoubistvo. Majka se takođe ubila 222 * Uprkos mnogim izazovima, on je dominantan političar u nedostatku boljih zamena 12 |
Poštovani čitaoci, možete nas pratiti i na platformama:
Facebook,
Instagram,
YouTube,
TikTok,
Telegram,
Vajber.
Pridružite nam se i prvi saznajte najnovije i najvažnije informacije.
Naše aplikacije možete skinuti sa
Google Play i
Apple AppStore.


Komentari (0)