MIRINE KOLUMNE BILE SMRTNE PRESUDE! Strogo poverljivi dokumenti američke službe o porodici MILOŠEVIĆ!
Operativci analizirali Slobine osobine, ponašanje na sastancima, ambicije i slabosti. Posebno obrađivali njegove odnose sa suprugom
Foto: Tanjug/AP
UČTIV I OPUŠTEN
CIA Miloševića naziva impresivnim govornikom, koji je samouveren i dominantan dok razgovara oči u oči.
- Milošević je učtiv i opušten tokom sastanaka u svojoj kancelariji. On je majstor za razmišljanje i donošenje odluka pod pritiskom - glasi deo opisa.
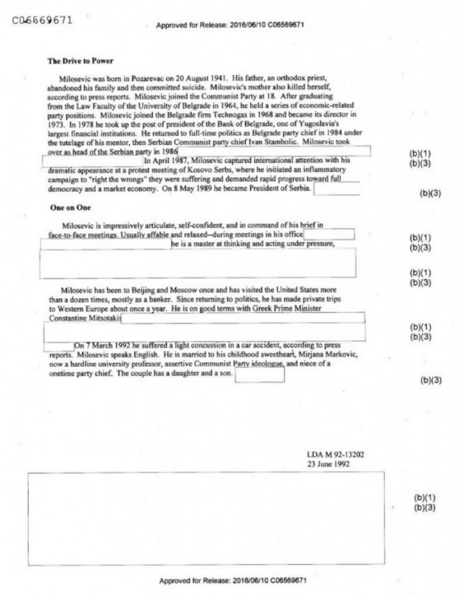
Američki obaveštajci insistiraju na psihološkom profilu Miloševića, kojem su i otac i majka počinili samoubistvo, navodeći da je porodični čovek, koji ima suprugu Mirjanu, sina i ćerku. Poseban paragraf posvećen je supruzi, ali je veliki deo zatamnjen.
SLOBA POSLAO SPECIJALCE DA UBIJU KARADŽIĆA! Tajni zapisi CIA otkrili kako je Milošević hteo da "skine" vođu bosanskih Srba - MLADIĆU DAO PONUDU KOJA SE NE ODBIJA

Foto: Tanjug/AP, Privatna arhiva
- Mirjana Marković mu je najbliža, u nju ima najviše poverenja, ona je njegov savetodavac. Često je koristila kolumne u magazinu da predskazuje smene i događaje u politici svog supruga - stoji u materijalu neposredno pre cenzurisanog dela.
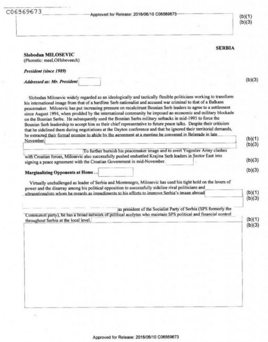
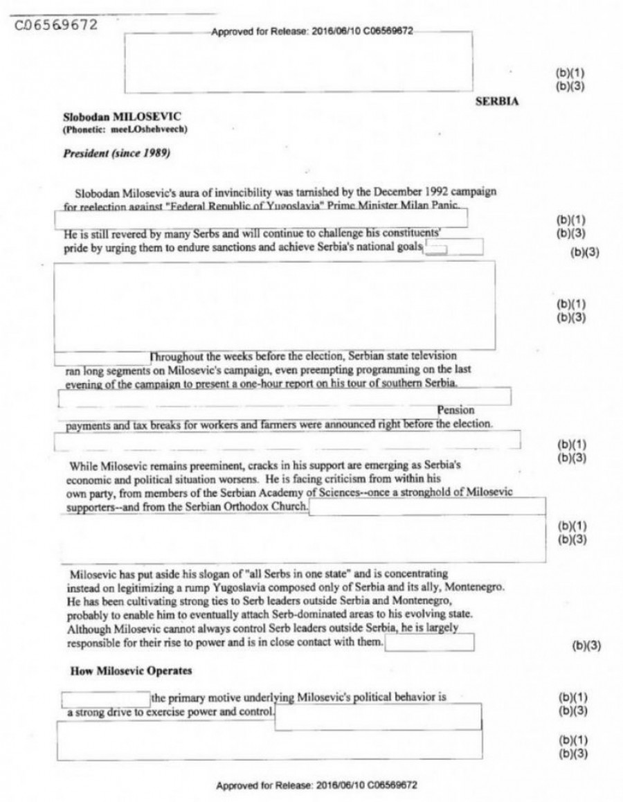
Izveštaj je s vremenom dopunjavan novim podacima, a kako je vreme prolazilo, Milošević od simpatičnog političara koji pije viski, puši tompus i odlično govori engleski, s upadljivim akcentom, postaje zlikovac koji gura lidere krajiških i bosanskih Srba u rat. Tako kasnije opservacije opisuju Slobu kao "ultimativnog vlastodršca koji je marginalizovao opoziciju" i "nacionalistu koji se u to preobratio posle uloge mirotvorca u Dejtonu".
Najavljivala sve smene u kolumnama u Dugi
Novinar Milomir Marić, koji je bio urednik u Dugi, gde je Mirjana Marković objavljivala kolumne, kaže da su njeni tekstovi bili najčitanije štivo u zemlji.
- Za Dugu je pisao i Đinđić, ali su Mirine kolumne bile mnogo čitanije zato što je, naravno, bila upućena u sve Miloševićeve poteze. Tako je ona prva objavila da se Milošević posvađao s Karadžićem, da je besan na neke svoje saradnike i još mnogo toga. Obično se već posle nedelju ili dve ostvarivalo ono što je najavljivala. Ljudi su to čitali kao sumanuti. Koga i kada će smeniti Milošević, veoma je interesovalo svakog Srbina. Bukvalno je svaki Miloševićev zaokret ona prethodno najavila. Tako je u tekstovima nezvanično objavila kraj rata u Bosni. Nije samo CIA čitala njene tekstove. Znam da se lord Dejvid Oven hvalio Miloševiću kako čita svaku kolumnu njegove žene - priseća se Marić.
Ovako je CIA videla Slobu
* Pije viski i puši tompus
* Snažno želi da vrši vlast i sve ima pod kontrolom
* Promućurni taktičar koji drži opoziciju van ravnoteže
* Opušten i šarmantan, majstor za razmišljanje i donošenje odluka pod pritiskom
* Doživeo potres mozga u saobraćajnoj nesreći 7. marta 1992.
* Aura nepobedivosti potamnela decembra 1992. u kampanji za reizbor protiv tadašnjeg premijera Milana Panića
* Mirjana je njegov najbliži čovek od poverenja i savetodavac
* Posetio SAD na desetine puta, a tek nekoliko otkad je postao predsednik
* Otac napustio porodicu, pa počinio samoubistvo. Majka se takođe ubila
* Uprkos mnogim izazovima, on je dominantan političar u nedostatku boljih zamena
Poštovani čitaoci, možete nas pratiti i na platformama:
Facebook,
Instagram,
YouTube,
TikTok,
Telegram,
Vajber.
Pridružite nam se i prvi saznajte najnovije i najvažnije informacije.
Naše aplikacije možete skinuti sa
Google Play i
Apple AppStore.
Komentari (0)