Namera Prištine da poništi sertifikat MTS-u grubo kršenje svih zakona!

Republika.rs

Autor:

Vesti

09.08.2023

17:46

Pratite nas i putem Android ili iOS aplikacija

Android aplikacija ios aplikacija huawei aplikacija

Firma je potpuno legitimno osnovana u skladu sa ratifikovanim Briselskim sporazumom od strane Prištine.

Namera Prištine da poništi sertifikat MTS-u grubo kršenje svih zakona!

Foto: Tanjug/AP

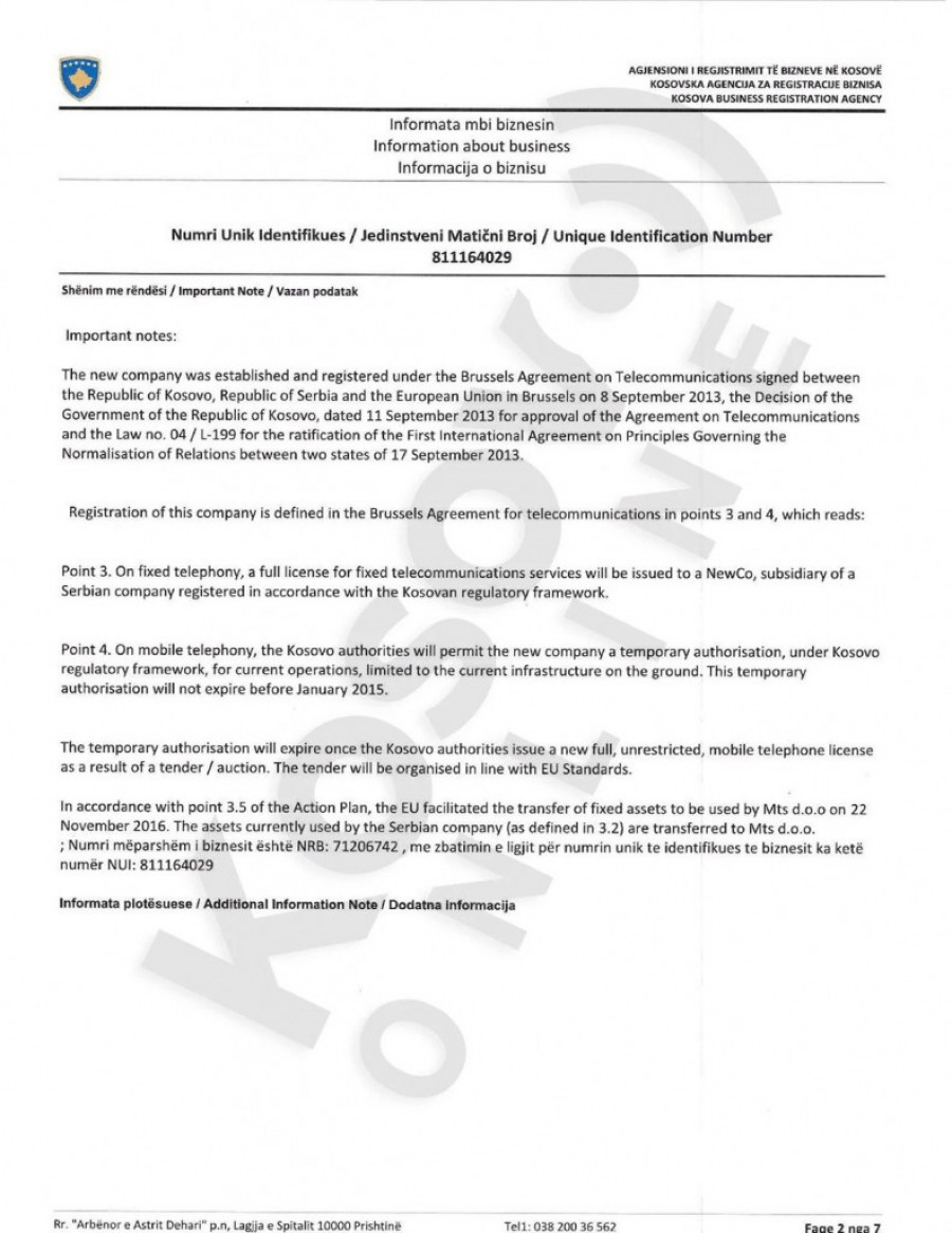
Nakon što se pojavila poslednja informacija u javnosti da je namera Prištine da kompaniji MTS d.o.o. apsolutno bespravno i mimo svih procedura poništi sertfikat o registraciji, Kosovo onlajn se ovom temom pozabavio detaljno u cilju obaveštavanja javnosti o potpuno tačnim i ispravnim činjenicama koje se mogu vrlo lako i jednostavno proveriti.

Provereni je sa nadležnima u kompaniji MTS d.o.o, koja kao ćerka firma Telekoma Srbija, apsolutno i u potpunosti obavlja svoje poslovanje u skladu sa propisima Prištine i zamolili ih da nam prokokomentarišu ove navode. Naime, izvodi iz registra za MTS d.o.o. ni u jednom dokumentu ne navode "Kosovska Mitrovica, Republika Srbija", zapravo nigde ne piše "Republika Srbija".

Štaviše, firma je potpuno legitimno osnovana u skladu sa ratifikovanim Briselskim sporazumom od strane Prištine, po lokalnim propisima i koristeći isprave izdate od strane Prištine (što se sve vidi iz samih izvoda iz registra). Kompletna dokumentacija je u potpunosti u skladu sa propisima Prištine, kao i sva lična dokumenta zakonskih zastupnika.

Kao jedini sporan dokument navodi se navodno postojanje srpskog pasoša u arhivi registra na kojem piše navodno Kosovska Mitrovica, Republika Srbija. Navodno, jer odluka o brisanju samo navodi da je:

Ministarstvo industrije, preduzetništva i trgovine (MINT) svojom odlikom br. 4009/02 od 06.07.2023. osnovalo Komisiju za re-verifikaciju spisa predmeta Agencije za privredne registre Kosova (KBRA).

Na osnovu izveštaja Komisije br. 4427/02 od 21.07.2023, čini se da u spisima predmeta MTS d.o.o. MB:81164029, postoji dokument/pasoš br. no.008526874 izdat od strane Republike Srbije Zoranu Milojeviću (zakonskom zastupniku), gde u odeljku "mesto rođenja" piše "Kosovska Mitrovica, Republika Srbija".

Ovaj podatak o pasošu se ne pojavljuje ni u jednom zvaničnom izvodu, ili drugom identifikacionom dokumentu registra MTS d.o.o., već je svuda isključivo priložena i prikazana lična karta Zorana Milojevića izdata od strane Prištine. Od podnošenja dokumentacije pred registrom, od osnivanja pa nadalje, ne postoji nikakav podatak u arhivi da je ikada korišćen pasoš Zorana Milojevića.

Štaviše, prema informacijama od Zorana Milojevića, njemu nikad nije izdat pasoš pod ovim rednim brojem 008526874, ni važeći, a niti istekao. Čak i da je ikada podneta kopija nekog pasoša (a koliko je poznato, niti isti postoji), iz svih dokumenata, pa i same odluke uopšte nije jasno zašto bi taj pasoš bio pravno relevantan, kada se ne koristi niti za jedan registracioni dokument.

Povrh toga, čak i da jeste išta od toga relevantno, a nije, nejasno je kako može "mesto rođenja" da vređa Ustav i javni poredak Kosova, kada u vreme kada je Zoran Milojević bio rođen 1968. godine, to jeste bila Republika Srbija, isto kao što skoro svim građanima iz bivše Jugoslavije, na dokumentima piše SFRJ kao mesto rođenja.

Da je u pitanju mesto trenutnog prebivališta, kao "trenutni" podatak pa da ima prostora za diskusiju, ali to ovde nije slučaj. Sem predmetne odluke, ne postoji pristup gore navedenom izveštaju Komisije MINT-a br. 4427/02, niti samim navodnim dokumentima, koji su korišćeni kao navodni dokazi.

Odvojena tema je to, što s obzirom na sve gore navedeno, je potpuno nejasno kako mesto rođenja, što je istorijski podatak, može da povlači bilo kakve pravne posledice, čak i u pogledu brisanja zakonskog zastupnika, a kamoli ukidanja cele kompanije.

Odluka o brisanju navodi da ime koje je korišćeno za njegovo mesto rođenja i državu, predstavlja kršenje navodnih ustavnih normi što takođe navodno predstavlja ozbiljnu pretnju po javnu bezbednost. Zato je podnet zahtev za dobijanje informacije od javnog značaja kako bi se dobila na uvid kopija navodnog pasoša.

Kosovo onlajn došao je u posed zvaničnih dokumenata koja dokazuju gore pomenute tvrdnje.

BONUS VIDEO 

 

 

Poštovani čitaoci, možete nas pratiti i na platformama: Facebook, Instagram, YouTube, TikTok, Telegram, Vajber. Pridružite nam se i prvi saznajte najnovije i najvažnije informacije.
Naše aplikacije možete skinuti sa Google Play i Apple AppStore.

Komentari (0)

Loading